鈦合金由于其優秀的比強度、抗腐蝕性能被廣泛應用于飛機結構件的制造。Ti55531合金是一種新型高強高韌β型合金,其名義成分為Ti-5Al-5V-5Mo-3Cr-1Zr。此合金擁有良好的淬透性和較寬的加工工藝范圍,特別適合制造必須承受巨大應力的零部件,比較適合用于結構件,起落架、機翼、發動機掛架之間的連接裝置等。我司利用現有設備,針對Ti55531合金的性能特點開展了梁類鍛件的試制,獲得了外形尺寸合格、性能優良的高品質產品。
1、技術條件
圖1所示為某型號飛機的梁類零件,力學性能要求如表1所示。此梁類零件由上、下椽條和腹板組成,上、下椽條以受拉、壓的方式承受彎矩載荷,腹板則以受剪的方式傳遞切向載荷。該梁類零件為高筋薄腹板結構,壁板高度與厚度并不均勻,截面起伏大,是一種典型的難成形結構,材料為Ti55531鈦合金。
表1 鍛件力學性能要求


圖1 零件示意圖
2、技術路線
Ti55531鈦合金梁類鍛件的主要生產流程為:鍛造(制坯→終鍛)→性能熱處理→理化檢測→粗加工→超聲波檢測。
3、鍛件原材料
毛坯選用西部超導材料科技股份有限公司提供的φ180mm規格的Ti55531棒材,化學成分如表2所示。
表2 原材料化學成分(%)

4、鍛造工藝
(1)鍛造工藝流程。
采用模鍛工藝成形,先用自由鍛成形出與零件尺寸接近的預制坯,如圖2所示。此坯料可有效實現梁鍛件不同區域初始體積的合理分配,獲得良好的填充效果,避免折疊缺陷。鍛造工藝包括制坯和模鍛工序。

圖2 預制坯
(2)模鍛成形數值模擬。
為提高生產效率和節約生產成本,根據前期Ti55531合金鍛件生產經驗,鍛件用DEFORM-3D進行了數值成形模擬分析。模擬具體參數如表3所示。
表3 有限元模擬過程參數

通過模鍛成形模擬發現:當模鍛采用僅一火鍛造時,終鍛溫度過低,不滿足工藝規范。通過多次迭代優化,最終確定模鍛采用兩火鍛造。
1)模鍛1火。
圖3為終鍛一火成形過程中的溫度場和等效應變分布圖。當壓機壓下量為86mm時,鍛造壓力為4500~5000t。溫度分布:表面溫降較快,心部溫度較高,溫度為750~825℃。等效應變分布:鍛件本體變形量30%~40%。

圖3 模鍛一火模擬結果
2)模鍛兩火。
圖4所示為終鍛兩火成形過程中的溫度場和等效應變分布圖。當壓機壓下量為35mm時,鍛件充滿情況良好,鍛造壓力為11800t。溫度分布:溫度為830~860℃,分布均勻。等效應變分布:鍛件本體變形量40%~50%。通過數值模擬可知,采用模鍛兩火鍛造,鍛件充型良好,變形量適中,最終確定鍛造工藝為制坯兩火+模鍛兩火工序。

圖4 模鍛兩火模擬結果
5、工藝試驗及熱處理
為檢驗最終鍛件是否能夠達到使用要求,分別試制梁鍛件和肋鍛件用于分析檢測。梁鍛件和肋鍛件均采用常規兩相區鍛造,鍛造溫度為800℃,鍛造設備為16MN快鍛機。其中梁鍛件代號為A1、A2,采用自由鍛兩火的方式成形,A1來料棒材規格φ180mm×530mm,A2來料棒材規格φ180mm×290mm。肋鍛件代號為B1、B2,在16MN快鍛機上采用自由鍛三火的方式成形,B1來料棒材規格φ300mm×850mm,B2來料棒材規格φ300mm×650mm。兩鍛件鍛造參數如表4所示。
表4 梁、肋鍛件鍛造參數

原材料交貨時已經進行固溶時效處理,熱處理制度為:790℃×2.5h/AC+610℃×8h/AC。為了保證零件的性能符合最終使用需求,對試制件重新進行熱處理試驗。對試制件分別進行固溶+時效處理和雙重退火處理后,進行力學性能檢測。固溶+時效處理工藝為:固溶溫度790℃,時間2h;時效溫度600℃,時間8h。雙重退火工藝如下:一次退火溫度860℃,退火1.5h后爐冷;二次退火溫度560℃,退火8h后空冷。
性能檢測項目如表5所示。試樣在熱處理后按照GB/T 228.1-2010加工成φ5mm×25mm的標準拉伸試樣,然后在InStron 8802拉伸試驗機上進行室溫拉伸試驗。沖擊試驗在JBN-300B沖擊試驗機上進行試驗,試驗按照GB/T 229-2007《金屬材料夏比擺錘沖擊試驗方法》執行,試樣加工成10mm×10mm×55mm的U形缺口試樣。斷裂韌度在MTS810型試驗機上進行。金相試樣在拋光后,用HF+HNO3+H2O(體積比為1:3:10)的混合腐蝕劑腐蝕后,在DMI5000M Leica光學顯微鏡下觀察顯微組織。
表5 試制梁、肋鍛件試樣檢測項目

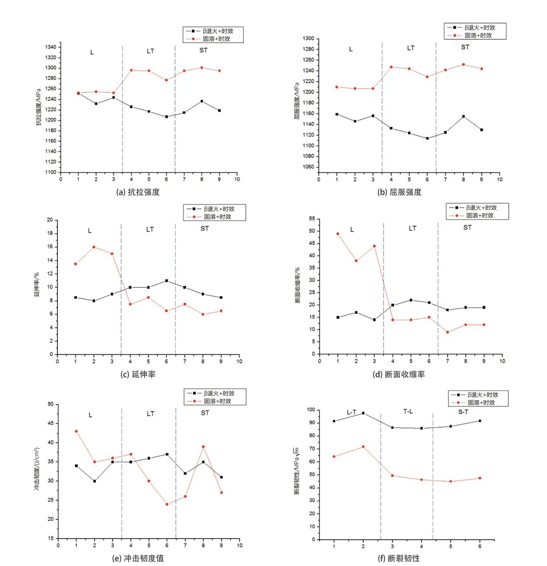
試制梁鍛件β退火+時效和固溶+時效狀態的力學性能對比如圖5所示。β退火+時效狀態鍛件的抗拉強度為1198~1258MPa,屈服強度為1101~1164MPa,延伸率為8.5%~12.5%,斷面收縮率為16%~23%,沖擊韌度值為34~42J/cm2,斷裂韌性為圖片固溶+時效狀態鍛件的抗拉強度為1244~1252MPa,屈服強度為1193~1246MPa,延伸率為8.5%~16%,斷面收縮率為20%~50%,沖擊韌度值為20~46J/cm2,斷裂韌性為圖片

圖5 試制梁鍛件兩種熱處理狀態的力學性能對比
肋鍛件β退火+時效和固溶+時效狀態的力學性能對比如圖6所示。β退火+時效狀態鍛件的抗拉強度為1207~1252MPa,屈服強度為1114~1159MPa,延伸率為8%~11%,斷面收縮率為14%~22%,沖擊韌度值為30~37J/cm2,斷裂韌性為圖片固溶+時效狀態鍛件的抗拉強度為1253~1301MPa,屈服強度為1207~1252MPa,延伸率為6%~16%,斷面收縮率為9%~46%,沖擊韌度值為24~43J/cm2,斷裂韌性為圖片

圖6 試制肋鍛件兩種熱處理狀態的力學性能對比
因兩種狀態取樣位置相同,所以力學性能變化趨勢基本相同。固溶+時效狀態抗拉強度高于β退火+時效狀態40~50MPa;固溶+時效狀態屈服強度高于β退火+時效狀態約90MPa;兩種狀態的延伸率、斷面收縮率和沖擊韌度值無明顯趨勢,固溶時效狀態的三個方向延伸率、斷面收縮率和沖擊韌度值差異較大;β退火+時效狀態斷裂韌性高于固溶+時效狀態。
隨著航空航天技術的不斷發展,飛機結構設計的理論在靜強度、動強度、疲勞強度及斷裂強度方面不斷進化,目前損傷容限設計成為飛機結構設計的重要規范。斷裂韌度可用來表征材料抵抗裂紋擴展的能力,為材料的損傷容限設計提供參考依據。由于鍛件采用β退火+時效狀態斷裂韌性高于固溶+時效狀態,因此最終選取β退火+時效作為鍛件的最終熱處理方式。
6、鍛件試生產
鍛件分別經過兩火次制坯和兩火次模鍛生產,其鍛件外形尺寸滿足圖紙要求。鍛件每火次鍛造成形情況與數值模擬情況基本一致。鍛件每火次鍛造工藝參數見表6。試生產鍛件力學性能如表7所示,符合標準要求。
表6 鍛件試生產鍛造工藝參數

表7 試生產鍛件力學性能

結束語
1、通過數值模擬技術對模鍛成形過程進行不斷地迭代優化,制定出兩火次制坯和兩火次模鍛的工藝方案,鍛件充型良好,變形量均勻。
2、試制鍛件整體力學性能均勻,完全符合力學性能要求。鍛件室溫整體抗拉強度大于1150MPa,屈服強度大于1050MPa 。
3、對Ti55531鈦合金鍛件分別進行β退火+時效處理和固溶+時效處理,固溶+時效狀態室溫強度略高于β退火+時效狀態;但β退火+時效狀態斷裂韌性高于固溶+時效狀態,這對后續大型Ti55531合金鍛件的試制生產研究有一定的指導意義。
(莫安軍,王瑞麒,余勝峰,栗文強,曾菁·中國第二重型機械集團德陽萬航模鍛有限責任公司)
無相關信息
